#P10380. 3TRU

3TRU

题目描述

有一个字符串 SS,它的所有字符都是不超过 kk 的正整数 1,,k1,\ldots,k 之一。

智者想要知道 SS 的具体值,不过尽其一生,他只发现了:

  • 有一棵包含 nn 个点的以 11 为根的有根树 TT,已知 SS 的后缀字典树与 TT 同构。

古书上说:所谓后缀字典树,就是由一个字符串的所有非空后缀生成的字典树。

智者发现:由于 TT 的边上并没有标明字符,所以实际上有很多种可能的 SS,他希望你告诉他满足条件的 SS 的数量对 998244353998244353 取模的结果,并构造一种可能的 SS

输入格式

第一行:两个整数 n,kn,k,分别表示 TT 中的点数和 SS 的字符集大小。

第二行:n1n-1 个整数 f2,,fnf_2,\ldots,f_n,其中 fif_i 表示 TT 中点 ii 的父结点。

输出格式

第一行:一个整数 ansans,表示满足条件的 SS 的数量对 998244353998244353 取模的结果。

第二行:一个整数 mm,表示你构造的 SS 的长度。

第三行:mm[1,k][1,k] 中的整数,表示你构造的 SS

如果不存在满足条件的 SS,则只需在第一行输出 00,后面不用输出。

样例 1 输入

8 2
1 2 3 1 5 6 7

样例 1 输出

4
4
1 2 1 2

样例 1 解释

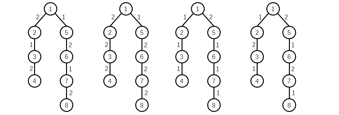
共有 1 2 1 2, 1 2 2 2, 2 1 1 1, 2 1 2 11\ 2\ 1\ 2,\ 1\ 2\ 2\ 2,\ 2\ 1\ 1\ 1,\ 2\ 1\ 2\ 1 这四种可能的 SS,对应的后缀字典树分别如下图所示:

pic.png

样例 2 输入

8 2
1 1 2 3 5 5 7

样例 2 输出

0

样例 3 输入

6 4
1 2 3 4 5

样例 3 输出

4
5
3 3 3 3 3
数据范围

对于全部数据:$1\leq n\leq 5\times 10^5,\ 1\leq k\leq 998244352,\ f_i<i$。

子任务编号 nn\leq kk\leq 特殊性质 分值
Subtask 1 55 22 1010
Subtask 2 600600 保证有解 1515
Subtask 3 25002500 998244352998244352
Subtask 4 5×1055\times 10^5 22 3030
Subtask 5 998244352998244352

注:保证有解指的是一定存在满足要求的 SS