#P10854. [POI2021 R3]Głosowanie

[POI2021 R3]Głosowanie

题目描述

题目译自 XXIX Olimpiada Informatyczna – III etap Głosowanie

某公司总裁想通过举办「柑橘星期四」来提升员工士气,但他在采购橙子还是葡萄柚之间犹豫不决,最终决定让员工们自己投票选择。

投票将按照公司层级进行。公司共有 nn 名员工,编号从 11nn,其中编号 11 是总裁。每位员工要么是管理者,要么是普通员工,总裁必然是管理者。每位管理者直接领导奇数名下属,这些下属可能是普通员工或其他管理者。普通员工没有下属。除了总裁(没有上级)外,每位员工有且仅有一位直接上级。公司层级中不存在循环。

普通员工独立决定支持橙子还是葡萄柚,而管理者则跟随其直接下属的多数意见投票。最终结果由总裁的投票决定。

Bajtazar 是橙子批发商,希望橙子能在投票中获胜。然而,他的好友 Bajtoni 是葡萄柚批发商,更希望葡萄柚胜出。于是,两个好友决定玩一场游戏:从 Bajtazar 开始,他们轮流(每次一人)挑选一名尚未被说服的普通员工,劝说其支持自己的柑橘(Bajtazar 和 Bajtoni 都极具说服力)。游戏在所有普通员工都被说服后结束。

请你帮助字节扎尔制定策略,选择员工的顺序,确保橙子最终获胜。你可以假设公司层级设计总是能让字节扎尔无论 Bajtoni 如何选择都能胜出。

交互方式

你需要编写一个程序,通过提供的库(模拟 Bajtoni 的行动)帮助 Bajtazar。

使用库的方法如下:

  • C/C++: #include "glolib.h"
  • Python: from glolib import daj_n, daj_przelozonego, ruch

库提供以下函数:

  • daj_n():返回整数 nn,表示公司员工总数。
  • daj_przelozonego(v):返回编号为 vv (1<vn)(1 < v \leq n) 的员工的直接上级编号,上级编号总是小于员工编号。
  • ruch(x):通知库 Bajtazar 选择编号为 xx 的普通员工进行说服,返回 Bajtoni 接下来选择的员工编号。若 Bajtazar 的这次选择是游戏的最后一动,程序会在调用后自动结束(假设 Bajtazar 总是最后行动)。

daj_ndaj_przelozonego 可多次调用。你的程序不得打开文件或使用标准输入输出,但可使用标准错误输出(stderr),不过这会消耗时间。程序将与库一起编译,命令如下:

  • C++: g++ -O3 -static -std=c++17 glolib.cpp glo.cpp
  • Python: python3 glo.py

注意:内存限制仅适用于你的代码,不包括库的内存使用。

示例评测程序

示例评测程序和交互库位于「文件」中。这些库的行为可能与正式评测不同,且未必符合任务假设,仅用于展示程序交互方式。

你的程序若与示例库编译,将从标准输入读取公司层级描述:先是 nn,然后是 n1n-1 个数 p2,,pnp_{2}, \ldots, p_{n}(用空格分隔),pip_{i} 表示编号 ii 的员工的上级编号。示例库中,字节尼总是选择未被说服的最小编号普通员工,这一策略也在样例和评测测试点中采用。示例库会输出字节扎尔和字节尼的每次行动。

样例 1

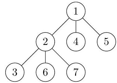
以下是样例中程序的运行流程,公司层级如下图所示:

调用 返回值 说明
daj_n() 7 n=7n=7
daj_przelozonego(2) 1 22 的上级是 11
daj_przelozonego(3) 2 33 的上级是 22
daj_przelozonego(4) 1 44 的上级是 11
daj_przelozonego(5) 1 55 的上级是 11
daj_przelozonego(6) 2 66 的上级是 22
daj_przelozonego(7) 2 77 的上级是 22
ruch(3) 5 Bajtazar 说服 33,Bajtoni 说服 55
ruch(7) 4 Bajtazar 说服 77,Bajtoni 说服 44,此后橙子无胜算
ruch(6) Bajtazar 说服 66,游戏结束,程序自动终止

若 Bajtazar 在第二步选择说服 44,则可确保橙子获胜。

样例 2

见附加文件下 [glo1ocen.in](file:glo1.in) 和 [glo1ocen.out](file:glo1.out)。

该样例满足 n=19n=19,总裁直接领导 33 名管理者,每位管理者领导 55 名普通员工;

样例 3

见附加文件下 [glo2ocen.in](file:glo2ocen.in) 和 [glo2ocen.out](file:glo2ocen.out)。

该样例满足 n=364n=364,每位管理者直接领导 33 人,所有普通员工与总裁的层级距离相等;

样例 4

见附加文件下 [glo3ocen.in](file:glo3ocen.in) 和 [glo3ocen.out](file:glo3ocen.out)。

该样例满足 n=200000n=200000,公司有 100001100001 名管理者(除总裁外,每人上级为编号小 11 的管理者),9999999999 名普通员工直接受 100001100001 号管理者领导。

数据范围与提示

详细子任务附加限制及分值如下表所示。

子任务编号 附加限制 分值
11 2n132 \leq n \leq 13 2020
22 2n10002 \leq n \leq 1000 4040
33 2n2000002 \leq n \leq 200000 4040