#P12532. 「APIO2025」排列游戏

「APIO2025」排列游戏

题目描述

Alice 和 Bob 是童年时代的朋友,他们喜欢玩智力游戏。今天,他们在玩一个关于图的新游戏。

游戏中包含一个连通图,具有 mm 个顶点,编号为 00m1m-1,以及 ee 条边,编号为 00e1e-1。第 ii 条边连接顶点 u[i]u[i]v[i]v[i]

游戏中还包含一个长度为 nn 的排列 p[0],p[1],,p[n1]p[0], p[1], \ldots, p[n-1],其中 mnm \leq n。排列是一个数组,其中从 00n1n-1 的每个数字以某种顺序仅出现一次。排列 pp 的分数是满足 p[i]=ip[i] = i 的下标 ii 的数量。

游戏最多持续 1010010^{100} 个回合。在每个回合中,都会发生以下情况:

  1. 如果 Alice 决定结束游戏,游戏终止。
  2. 否则,Alice 选择一组两两不同的下标 t[0],t[1],,t[m1]t[0], t[1], \ldots, t[m-1],满足 0t[i]<n0 \leq t[i] < n。请注意,游戏不要求 t[0]<t[1]<<t[m1]t[0] < t[1] < \ldots < t[m-1]
  3. Bob 选择一个图中边的下标 0j<e0 \leq j < e,并交换 p[t[u[j]]]p[t[u[j]]]p[t[v[j]]]p[t[v[j]]]

Alice 希望能最大化排列的最终分数而 Bob 希望最小化排列的最终分数。

你的任务是帮助 Alice,与由评测程序模拟的 Bob 进行游戏。

定义一局游戏的“最优分数”为当 Alice 和 Bob 都采用最优策略进行游戏时最终得到的排列的分数。

你需要求出本局游戏的最优分数,然后与 Bob 进行游戏,且需要在若干轮后至少达到最优分数。

请注意:你实现的 Alice 的策略应当是普适性的,能够处理 Bob 可能采用的各种策略,即使 Bob 采用的策略可能并非最优。

实现细节

你要实现以下函数:

int Alice(int m, int e, std::vector<int> u, std::vector<int> v, int n, std::vector<int> p)
  • mm: 图中顶点个数。

  • ee: 图中边的数量。

  • uuvv: 长度为 ee 的数组,描述图中的边。

  • nn: 排列的长度。

  • pp: 长度为 nn 的数组,描述排列。

  • 该函数恰好被调用一次。

  • 该函数应该返回一个整数,即游戏的最后分数,假设 Alice 和 Bob 都以最优策略玩游戏。

在该函数中,你可以调用以下函数:

int Bob(std::vector<int> t)
  • t: 长度为 mm 的数组,包含一组两两不同的下标,满足 0t[i]<n0 \leq t[i] < n 且对于任意 iji \neq j 均有 t[i]t[j]t[i] \neq t[j]
  • 该函数返回一个整数 jj,满足 0j<e0 \leq j < e
  • 该函数可以被调用多次。

例子

考虑以下调用:

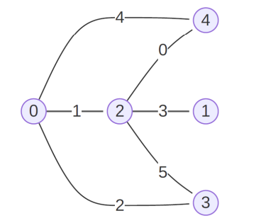
Alice(5, 6, [4, 0, 3, 1, 4, 2], [2, 2, 0, 2, 0, 3], 10, [8, 2, 7, 6, 1, 5, 0, 9, 3, 4])

如下图所示:

pp 的初值为 [8,2,7,6,1,5,0,9,3,4][8, 2, 7, 6, 1, 5, 0, 9, 3, 4]

给定以上约束条件,我们可以证明排列的最优分数为 11

假设,Alice 做了以下 44 次操作:

给 Bob 的参数 tt Bob 返回的值 pp 对应的下标 Bob 交换后的 pp
[3,1,5,2,0][3, 1, 5, 2, 0] 55 5,25, 2 [8,2,5,6,1,7,0,9,3,4][8, 2, 5, 6, 1, 7, 0, 9, 3, 4]
[9,3,7,2,1][9, 3, 7, 2, 1] 00 1,71, 7 [8,9,5,6,1,7,0,2,3,4][8, 9, 5, 6, 1, 7, 0, 2, 3, 4]
[5,6,7,8,9][5, 6, 7, 8, 9] 11 5,75, 7 [8,9,5,6,1,2,0,7,3,4][8, 9, 5, 6, 1, 2, 0, 7, 3, 4]
[7,5,2,3,6][7, 5, 2, 3, 6] 33 5,25, 2 [8,9,2,6,1,5,0,7,3,4][8, 9, 2, 6, 1, 5, 0, 7, 3, 4]

注意 Alice 和 Bob 所做的操作不一定是最优的。上面显示的操作纯粹是为了演示。另外,注意到 Alice 实际上可以在一开始就结束游戏,因为最开始的排列分数已经达到了最优分数 11

在 Alice 做了上述所有操作后,排列的实际分数为 33p[2]=2p[2] = 2, p[5]=5p[5] = 5, p[7]=7p[7] = 7)。

函数 Alice() 最后返回值为 11,即排列的最优分数。

请注意,即使 Alice 通过与 Bob 玩游戏获得了分数 33,但如果函数 Alice() 的返回值是 33 而不是 11,你将获得 00 分。

约束条件

  • 2m4002 \leq m \leq 400
  • m1e400m - 1 \leq e \leq 400
  • 0u[i],v[i]<m0 \leq u[i], v[i] < m
  • mn400m \leq n \leq 400
  • 0p[i]<n0 \leq p[i] < n

图是连通的,并且没有自环和重边。 pp 是一个排列,即对任意 iji \neq j, p[i]p[j]p[i] \neq p[j]

子任务

  1. (6 分) m=2m = 2
  2. (6 分) e>me > m
  3. (10 分) e=m1e = m - 1
  4. (24 分) e=m=3e = m = 3
  5. (24 分) e=m=4e = m = 4
  6. (30 分) e=me = m

对于每个子任务,你可以获得部分分数。设 rrkn\frac{k}{n} 在某个子任务的所有测试用例中的最大比值,其中 kk 是回合数(即对 Bob() 的调用次数)。那么,你在该子任务的得分为该子任务的满分乘以以下数字:

条件 乘数
12r12 \leq r 00
3<r<123 < r < 12 1log10(r2)1 - \log_{10}(r - 2)
r3r \leq 3 11

特别地,如果在 3n3n 个回合内解决问题,则该子任务将获得满分。使用超过 12n12n 个回合将导致该子任务获得 0 分(显示为 output isn't correct)。

评测程序示例

评测程序示例按以下格式读取输入:

  • 11 行: mm
  • 2+i2 + i(0ie1)(0 \leq i \leq e - 1): u[i]v[i]u[i]\, v[i]
  • 2+e2 + e 行: nn
  • 3+e3 + e 行: p[0]p[1]p[n1]p[0]\, p[1]\, \ldots\, p[n - 1]

评测程序示例按以下格式打印你的答案:

  • 11 行: 最后排列 pp
  • 22 行: Alice() 的返回值
  • 33 行: 最后排列的实际得分
  • 44 行: 回合数