题目描述
杭州市的中心广场有一棵著名的古树。这棵古树可以看作一棵 N 个节点的有根树,节点编号从 0 到 N−1,其中 0 号节点是根节点。
称没有孩子的节点为叶子节点。古树每次落叶时,会选择一个当前的叶子节点删去。每一天中,古树可能会多次落叶。
有 M 位志愿者(编号从 0 到 M−1)负责看护古树。每一位志愿者将各自按照如下方式独立记录今年的落叶的情况:
每一天,收集所有新的落叶的编号(即当天删除的节点的编号),然后将它们按任意顺序写在先前的落叶编号之后。
例如:第一天,叶子 3 和 4 落下,于是他们写下 3,4 或 4,3。第二天,叶子 1 和 2 落下,于是他们继续写下 1,2 或 2,1。最终的记录可能为 (3,4,1,2),(4,3,1,2),(3,4,2,1) 或 (4,3,2,1) 中的任意一个。
这个过程持续了 K 天,每天都有新的叶子掉落,直到只剩根节点为止。
你在旅途过程中经过了杭州。此刻已是寒冬,仰望古树光秃秃的枝干,你不禁想起落叶纷飞的美丽景象。
你很想知道今年有几天能看见落叶,但你只能找到 M 位志愿者的记录。尝试根据这些记录推断出 K 可能的最大值。
实现细节
请在程序开头引入库 september.h
。
你需要实现以下函数:
int solve(int N, int M, std::vector<int> F,
std::vector<std::vector<int>> S);
- N:古树的节点数量。
- M:志愿者的数量。
- F:一个长度为 N 的数组。对于 1≤i≤N−1,F[i] 表示节点 i 的父亲节点的编号。F[0] 始终为 −1。
- S:一个长度为 M 的数组。S 中的每个元素是一个长度为 N−1 的数组。S[i][j] 表示志愿者 i 记录的第 j 个节点编号(从 0 开始)。
- 该函数必须返回一个整数,表示根据如上规则的 K 可能的最大值(即,最大可能的落叶天数)。
- 对于每个测试点,交互库可能调用该函数多于一次。每次调用都应该作为新的情况分别处理。
注意:由于函数调用可能会发生多次,选手需要注意之前调用的残余数据对于后续调用的影响,尤其是全局变量的状态。
样例 1
考虑如下调用:
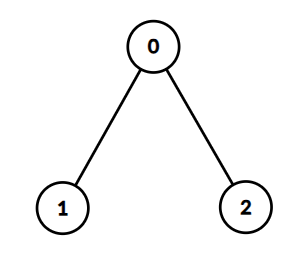
solve(3, 1, {-1, 0, 0}, {{1, 2}});
对应的树如下图所示:

叶子 1 和 2 可能在同一天落下,或者叶子 1 在第一天先落下,然后叶子 2 在第二天落下。落叶天数不超过 2。
因此,程序应当返回 2。
样例 2
考虑如下调用:
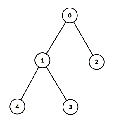
solve(5, 2, {-1, 0, 0, 1, 1}, {{1, 2, 3, 4}, {4, 1, 2, 3}});
对应的树如下图所示:

假设至少有 2 天落叶,根据志愿者的记录,叶子 4 将在不同的日子(第一天和最后一天)落下,这是矛盾的。
因此,程序应当返回 1。
约束条件
- 2≤N≤105.
- 1≤M≤5.
- ∑NM≤8×105.
- F[0]=−1. 对于 1≤i≤N−1,0≤F[i]≤i−1.
- 对于 1≤i≤M−1, 数组 S[i] 是一个 1,2,…,N−1 的排列。
- 保证 F 描述的是一棵以节点 0 为根的有根树。
子任务
详细子任务附加限制及分值如下表所示。
子任务编号 |
附加限制 |
分值 |
1 |
M=1,N≤10,∑N≤30 |
11 |
2 |
N≤10,∑N≤30 |
14 |
3 |
M=1,N≤1000,∑N≤2000,F[i]=i−1 |
5 |
4 |
M=1,N≤1000,∑N≤2000 |
9 |
5 |
N≤1000,∑N≤2000,F[i]=i−1 |
5 |
6 |
N≤1000,∑N≤2000 |
11 |
7 |
M=1,F[i]=i−1 |
9 |
8 |
M=1 |
11 |
9 |
F[i]=i−1 |
9 |
10 |
没有额外的约束条件 |
16 |
评测程序示例
评测程序示例读取如下格式的输入:
对于接下来 T 组数据中的每一组:
- 第 1 行:N M
- 第 2 行:F[1] F[2] … F[N−1]
- 第 3+i (0≤i≤M−1) 行:S[i][0] S[i][1] S[i][2] … S[i][N−2]
评测程序示例按照如下格式打印你的答案:
对于每组测试数据: